Trigonometry - Further trigonometric identities - trigonometric products.
Test Yourself 1.
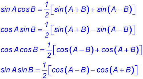
The results required for these further identities are:

| Express as sums or differences: | 1. 2sin 75° cos 15° | 2. cos 75° cos 45°. |
| 3. sin 100° sin 130°. | 4. 12 cos 75° sin 45°. | |
| 5. | 6. | |
| 7. 2sin 4θ cos 2θ. | 8. 4 cos 3θ sin 2θ. | |
| 9. | 10. 6sin (θ + ψ)cos (θ - ψ). | |
| 11. 42 cos (α + β) sin (α - β). | 12. | |
| Express as products. | 13. sin 4x - sin 2x. | 14. sin 2x + sin 5x |
| 15. sin (x + h) - sin x | 16. cos (2x + y) + cos (x + 2y). | |
| 17. cos (90° - A) + cos (90° - B). | 18. | |
| 19. | 20. | |
| 21. | 22. | |
| 23. | 24. | |
| Prove the following. | 25. | |
| 27. | ||
| 29. | ||
| 31. | ||
| 33. | 34. |